
統合シミュレーションの取り組み
近年、ビジネスのスピードが加速してきており、製品開発においても試作を重ねて開発するスタイルから、試作を行わずに量産開発を1発で実施することが多くなりました。そのためには、製品製作前に机上で評価することができるシミュレーションを活用する機会が増えてきてます。
下記に弊社で無線機器を開発する上での活用する主なシミュレーションの例を示します。
リンクレベルシミュレーション(LLS)
送信機・受信機の機能(信号処理など),および,それらの間の無線伝搬路の物理的な振る舞いをモデル化したもの
システムレベルシミュレーション(SLS)
複数の無線基地局と複数の携帯端末の間の通信状態をモデル化したもの
ネットワークシミュレーション(NWS)
SLSに加え、上位ネットワークプロトコル(TCP/IPなど)も含めて通信状態をモデル化したもの
電磁界シミュレーション
マクスウェルの方程式に基づいて電界・磁界の振る舞い(電波伝搬など)をモデル化したもの
レイトレースシミュレーション
電波を光に見立てて,伝搬減衰・反射・回折の影響を加味して電波伝搬の振る舞いをモデル化したもの
無線機器などを開発するさいに、各シミュレーションは、各設計フェーズごとに活用され、各設計フェーズの確からしさを検証することができ、後工程での後戻りを大幅に軽減させて、品質の向上に活用されてます。

しかし各シミュレーションは独立して実行しており、それぞれの目的に応じた内容を確認してます。もしこれらシミュレーション間を連動して行うと、もっと現実に近い評価ができるのではないかと、考えました。

統合シミュレーションイメージ
電磁界シミュレーション×方式シミュレーション
電磁界シミュレーション実際のアンテナや筐体を含めた電磁界や指向性の解析 | 方式シミュレーションアンテナの影響などを一般化したモデルでの、BER特性などを解析 |
![]() | ![]() |

結合
統合シミュレーション
実際のアンテナや筐体を含めたBER特性などを解析
例)
・RFやアンテナを過剰に高性能にせずデジタルと協力して性能達成
・試作回数もさらに低減 → 低コスト/短納期へ寄与

統合シミュレーション取り組み事例紹介
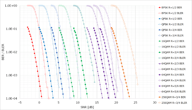
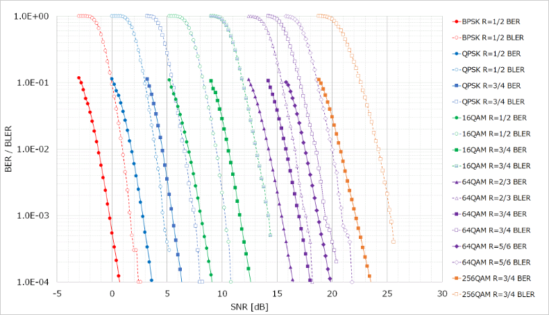
電磁界シミュレーションと方式シミュレーションを統合した取り組みを紹介します。ここで紹介するのは簡易的なものになります。アンテナの電磁界シミュレーションを実施しながらBER特性をシミュレーションしてみました。
左下の絵のように、周波数などのパラメータを入力してシミュレーションを開始します。開始すると「電磁界シミュレーション」と「BER特性シミュレーション」が同時に演算が始まります。
真ん中の絵は、アンテナのモデル化ができた絵になります。BER特性の演算が終わると、このアンテナモデルに対するBER特性が表示されます。今回は簡易的なモデルで実施しましたが、複雑なモデルや他のシミュレーションの統合も取り組み始めています。
このような簡易的ですが「電磁界シミュレーション」と「BER特性シミュレーション」を統合させてシミュレーションを実施してみました。詳しい情報は弊社までお問合せください。
![]() | ![]() | ![]() |
今後の取り組み
今回は、電磁界シミュレーションと方式シミュレーションを統合させたシミュレーションを実施して、ネットワークや装置を俯瞰した判断ができるようになるかと考えました。この他の複数のシミュレーションを統合してすること、ネットワークや装置の最適化もしくは全体開発費の削減する可能性があると考えており、引き続き取り組んでいこうと考えてます。
また、シミュレーションの重要性が増しているので、お客様にも統合シミュレーションで貢献していきたいと思いますので、クラウド上で皆様がシミュレーションできるように検討も開始してます。さまざまなご意見をお聞かせいただけましたら幸いです。




